WG type drum gear coupling parameters
2023-02-14
Generally speaking, WG type drum gear coupling has been widely used in various machinery industries in recent years. It has been widely used in high-speed turbine units to medium and low-speed heavy metallurgy, mining, lifting and transportation equipment. , and has formed a series of standard specifications. The manufacture of the transmission parts of the coupling has reached an innovative level in my country in terms of product specifications, performance parameters and manufacturing precision.

style=



 style=
style=
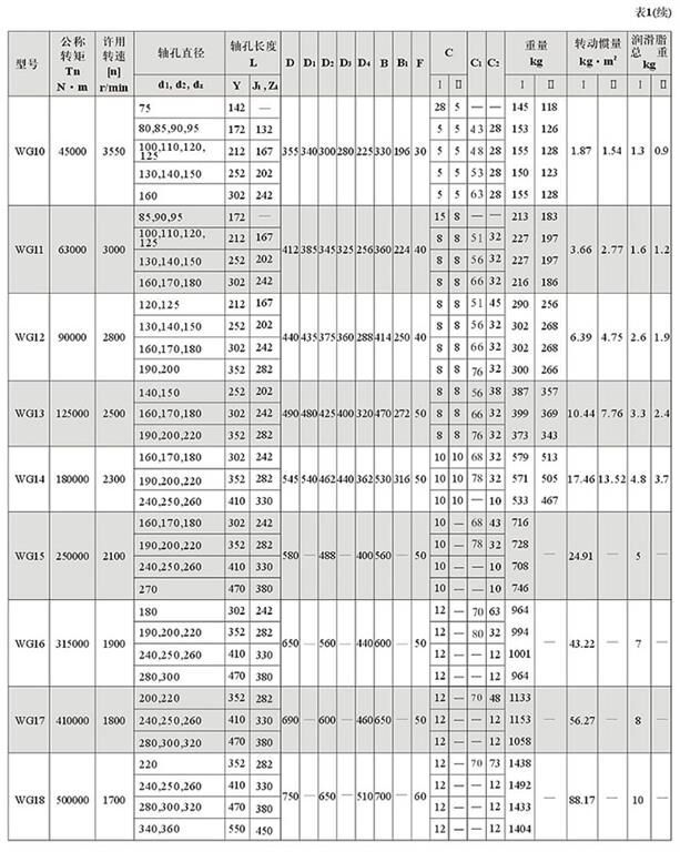
The above are the basic parameters and main dimensions of the
WG drum gear coupling. I hope it can help users who want to buy coupling transmission parts in the future! WG type drum gear coupling needs to be strictly produced in accordance with relevant standards. In terms of the quality of the transmission parts of the coupling, at the same time, machinery manufacturers can give customers a greater discount. The quality will not be fake, although the price is not in the market. The price is lower, but it will make customers feel economical! Machinery manufacturers have preferential policies, and have a large amount of stock in stock, and can also customize processing according to customer drawings. Long-term cooperative customers and customers who buy in bulk have greater discounts.

Awesome! Share to: